Semakan Kenaikan Pangkat Dg44





Urusan Kenaikan Pangkat Pegawai Perkhidmatan Pendidikan Ppp Gred Dg32 Gred Dg54 Bagi Julai Disember 2019 Pendidik2u

Urusan Kenaikan Pangkat Pegawai Perkhidmatan Pendidikan Ppp Gred Dg32 Gred Dg54 Bagi Julai Disember 2019 Pendidik2u

Onnie76 Kenaikan Pangkat Dg41 Ke Dg44 2015

Onnie76 Kenaikan Pangkat Dg41 Ke Dg44 2015

Urusan Kenaikan Pangkat Pegawai Perkhidmatan Pendidikan Ppp Gred Dg32 Gred Dg54 Bagi Julai Disember 2019 Pendidik2u

Urusan Kenaikan Pangkat Pegawai Perkhidmatan Pendidikan Ppp Gred Dg32 Gred Dg54 Bagi Julai Disember 2019 Pendidik2u

Epangkat Modul Pengurusan Guru Naik Pangkat Online

Epangkat Modul Pengurusan Guru Naik Pangkat Online

Urusan Kenaikan Pangkat Secara Tbbk Bagi Julai September 2019

Urusan Kenaikan Pangkat Secara Tbbk Bagi Julai September 2019

Cikgu Hijau Kenaikan Pangkat Guru Ppp Secara Time Based Berasaskan Kecemerlangan Tbbk Bagi Januari Jun 2018

Cikgu Hijau Kenaikan Pangkat Guru Ppp Secara Time Based Berasaskan Kecemerlangan Tbbk Bagi Januari Jun 2018

Cikgu Hijau Kenaikan Pangkat Guru Ppp Secara Time Based Berasaskan Kecemerlangan Tbbk Bagi Januari Jun 2018

Tindakan memperakukan calon yang telah pun dinaikkan pangkat bagi urusan ini akan dipertanggungjawabkan kepada ketua jabatan berkenaan.

Semakan kenaikan pangkat dg44. Gaji akhir diterima pada 1 julai. Berikut dikongsikan maklumat berkaitan dengan semakan kenaikan pangkat guru yang merangkumi applikasi semakan dan panduan penting. Tindakan memperakukan calon yang telah pun dinaikkan pangkat bagi urusan ini akan dipertanggungjawabkan kepada ketua jabatan berkenaan. Tarikh pergerakan gaji tpg.

Semakan keputusan urusan kenaikan pangkat guru secara time based boleh dibuat secara online mulai 16 mei 2012. Urusan pemangkuan dan kenaikan pangkat semakan online pendidikan ppp dan anggota 8 tahun pangkat kpm epangkat kpm kementerian pendidikan malaysia sistem kenaikan pangkat kementerian pelajaran malaysia kpm pangkat bagi pegawai perkhidmatan memenuhi keperluan sistem e pangkat satu sistem maklumat kenaikan pangkat. Cara buat semakan kenaikan pangkat guru online. Cara guna sistem epangkat online.

Tarikh naik pangkat. Semakan kenaikan pangkat dg41 ke dg44. Urusan kenaikan pangkat bagi pegawai perkhidmatan pendidikan ppp iklan tbkk adalah seperti gambar di bawah. Urusan kenaikan pangkat bagi pegawai perkhidmatan pendidikan ppp gred dg29 dg32 dg34 dan dg38 yang memperolehi ijazah semasa dalam perkhidmatan ke gred dg42 kementerian pendidikan malaysia kpm akan melaksanakan urusan kenaikan pangkat ppp gred dg29 dg32 dg34 dan dg38 yang memperolehi ijazah semasa dalam perkhidmatan ke gred dg42.

Seramai 24 053 guru siswazah ppps dan 12 502 guru bukan siswazah mendapat kenaikan pangkat. Tangga gaji guru gred dg41 dg44 dg48 dg52 tangga gaji guru gred dg41 dg44 dg48 dg52. Bagi memudahkan sistem semakan kenaikan pangkat kementerian pendidikan malaysia telah menyediakan sistem epangkat semakan online kpm dengan harapan ia memudahkan segala urusan baik daripada segi anda ingin hantar permohonan ingin melakukan semakan samada lulus atau tidak. Bagi urusan kenaikan pangkat ex pppld dari gred dg42 ke gred dg44 ketua jabatan dipohon untuk mengemaskini tarikh pemangkuan dan kenaikan pangkat dg42 di dalam sistem epangkat.

Contoh penetapan gaji permulaan kenaikan pangkat kenaikan gred dg44 ke dg48. Rm 5583 kgt dg48 rm 270 rm 5853. Https naikpangkat moe gov my sila masukkan no kad pengenalan dan klik button semak. 1 bagi anda mahukan akses login sistem kenaikan pangkat online ini boleh terus klik.

Urusan kenaikan pangkat secara time based berasaskan kecemerlangan tbbk bagi pegawai perkhidmatan pendidikan ppp gred dg44 ke gred dg48 yang mempunyai pengalaman sebagai pppld di kpm januari hingga jun tahun 2020 6 tahun ppps 2 tahun pppld 202044t0128. Bagi urusan kenaikan pangkat ex pppld dari gred dg42 ke gred dg44 ketua jabatan dipohon untuk mengemaskini tarikh pemangkuan dan kenaikan pangkat dg42 di dalam sistem epangkat. Applikasi semakan klik.

Semakan Kenaikan Pangkat Guru Secara Online Check Teachers Promotion Online Myschoolchildren Com

Semakan Kenaikan Pangkat Guru Secara Online Check Teachers Promotion Online Myschoolchildren Com

E Pangkat Keputusan Urusan Naik Pangkat Online

E Pangkat Keputusan Urusan Naik Pangkat Online

Http Jpnperak Moe Gov My Ppdhilirperak Attachments Article 3690 Surat 20siaran 20iklan 20tbbk 20ppp 20akp 20tahun 202016 20 202018 20urusan 20cicir Pdf

Http Jpnperak Moe Gov My Ppdhilirperak Attachments Article 3690 Surat 20siaran 20iklan 20tbbk 20ppp 20akp 20tahun 202016 20 202018 20urusan 20cicir Pdf

Jadual Gaji Baru Ssm 2013 Naik Pangkat Ppps Dg41 Dg44 Dg48 Dg52 Dg54

Jadual Gaji Baru Ssm 2013 Naik Pangkat Ppps Dg41 Dg44 Dg48 Dg52 Dg54

Laman Ilmu Tips Belajar C Alhamdulillah Hadiah Hari Guru Paling Bermakna

Laman Ilmu Tips Belajar C Alhamdulillah Hadiah Hari Guru Paling Bermakna

Epangkat Online Semakan Kenaikan Pangkat Berita Semasa

Epangkat Online Semakan Kenaikan Pangkat Berita Semasa

Kenaikan Pangkat Kpm Secara Time Base

Kenaikan Pangkat Kpm Secara Time Base

Urusan Kenaikan Pangkat Ppp Gred Dg32 Hingga Gred Dg54 Dan Akp Secara Tbkk Kpm Bagi Januari Hingga Jun 2019

Urusan Kenaikan Pangkat Ppp Gred Dg32 Hingga Gred Dg54 Dan Akp Secara Tbkk Kpm Bagi Januari Hingga Jun 2019

Onnie76 Kenaikan Pangkat Dg41 Ke Dg44 2015

Onnie76 Kenaikan Pangkat Dg41 Ke Dg44 2015

Epangkat Semakan Kenaikan Pangkat Kpm 2020

Epangkat Semakan Kenaikan Pangkat Kpm 2020

Cara Buat Semakan Kenaikan Pangkat Guru Epangkat Online

Cara Buat Semakan Kenaikan Pangkat Guru Epangkat Online

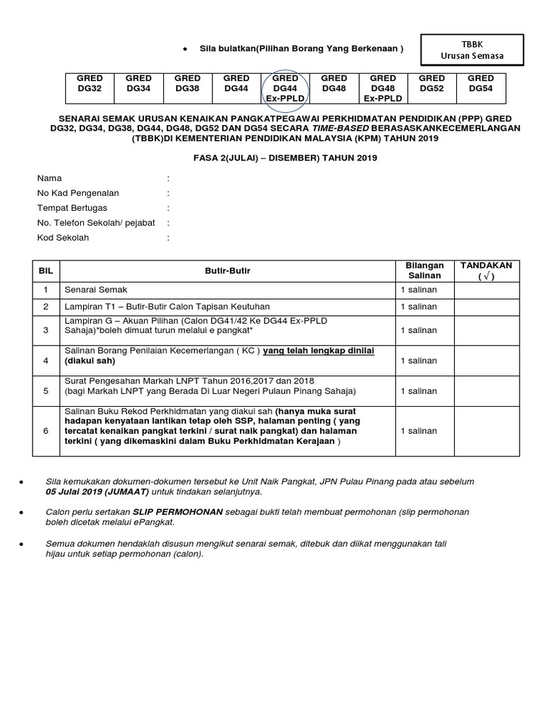
Senarai Semak Dg44

Senarai Semak Dg44

Kaedah Pelaksanaan Penilaian Tahap Kecemerlangan Urusan Kenaikan Pangkat Time Based Berasaskan Kecemerlangan Tbbk Pegawai Perkhidmatan Pendidikan Ppp Ppt Download

Kaedah Pelaksanaan Penilaian Tahap Kecemerlangan Urusan Kenaikan Pangkat Time Based Berasaskan Kecemerlangan Tbbk Pegawai Perkhidmatan Pendidikan Ppp Ppt Download

Borang Dg44 Cute766

Borang Dg44 Cute766

Source : pinterest.com